QUY TẮC QUY ĐỔI ĐIỂM TRONG TUYỂN SINH ĐẠI HỌC CHÍNH QUY NĂM 2026
- Điểm thi tốt nghiệp THPT, điểm các môn năng khiếu không quy đổi.
- Điểm mỗi môn của học bạ hoặc điểm V-SAT được quy đổi tương đương với điểm THPT năm 2026 theo công thức nội suy tuyến tính:
, trong đó:
x: điểm học bạ hoặc điểm V-SAT của thí sinh;
a, b: Biên của khoảng điểm học bạ hoặc V-SAT (a < x ≤ b);
y: điểm quy đổi tương đương điểm tốt nghiệp THPT (Môn_XHB hoặc Môn_XV-SAT);
c, d: Biên của khoảng điểm tốt nghiệp THPT tương ứng (c < y ≤ d).
- Tương ứng với mỗi môn của học bạ hoặc V-SAT sẽ có 1 bảng quy đổi điểm tương đương với điểm THPT riêng biệt (thể hiện các giá trị a, b, c và d tương ứng với mỗi khoảng phân vị T). Bảng quy đổi điểm được xây dựng dựa trên kết quả phân tích đối sánh tương ứng theo từng môn giữa điểm học bạ hoặc điểm V-SAT với điểm tốt nghiệp THPT năm 2026 (áp dụng phương pháp phân tích bách phân vị: chia thí sinh thành các nhóm điểm từ cao đến thấp). Bảng quy đổi điểm mỗi môn học bạ, V-SAT có dạng tổng quát như sau:
|
TỐP |
Điểm Học bạ/V-SAT (x): |
Điểm thi TN THPT (y): c < y ≤ d |
|
T1 |
a1 < x ≤ b1 |
c1 < y ≤ d1 |
|
T2 |
a2 < x ≤ b2 |
c2 < y ≤ d2 |
|
… |
… |
… |
|
Tn |
an < x ≤ bn |
cn < y ≤ dn |
- Trong bảng quy đổi điểm trên, mỗi dòng thể hiện một khoảng phân vị T (VD: tốp 5%, 10%,…) với khoảng điểm tương ứng từ điểm gốc (Học bạ/V-SAT) và điểm quy đổi. Các giá trị ai, bi, ci và di (i là số tự nhiên từ 1 đến n) là khác nhau đối với từng tốp phân vị Ti. Để tính điểm quy đổi, thực hiện như sau:
(1) Tìm khoảng điểm ai < x ≤ bi chứa giá trị x trong bảng quy đổi điểm để có được các giá trị ai, bi, ci và di tương ứng với dòng tốp Ti.
(2) Áp dụng công thức nội suy tuyến tính với a = ai, b = bi, c = ci, d = di và x để tính điểm quy đổi y.
- Các bảng quy đổi điểm áp dụng cho năm 2026 sẽ được ĐHCT công bố sau khi hoàn tất việc phân tích đối sánh dữ liệu điểm của tất cả thí sinh có nguyện vọng đăng ký xét tuyển vào ĐHCT năm 2026.
- Thí sinh có thể tham khảo công cụ tính toán điểm quy đổi của năm 2025:
Học bạ tại https://kqts.ctu.edu.vn/qdhb V-SAT tại https://vscon.fobi.vn
Ví dụ 1 - Quy đổi điểm học bạ: Điểm học bạ môn Toán (HM_Toán) của thí sinh là 8,1 điểm và giả định bảng quy đổi điểm học bạ môn Toán như sau:
|
TỐP |
Điểm học bạ a < x ≤ b |
Điểm thi TN THPT c < y ≤ d |
|
5% |
9,37 < x ≤ 10,00 |
8,60 < y ≤ 9,80 |
|
10% |
9,10 < x ≤ 9,37 |
8,40 < y ≤ 8,60 |
|
20% |
8,73 < x ≤ 9,10 |
8,00 < y ≤ 8,40 |
|
30% |
8,40 < x ≤ 8,73 |
7,80 < y ≤ 8,00 |
|
40% |
8,10 < x ≤ 8,40 |
7,60 < y ≤ 7,80 |
|
50% |
7,77 < x ≤ 8,10 |
7,20 < y ≤ 7,60 |
|
60% |
7,43 < x ≤ 7,77 |
7,00 < y ≤ 7,20 |
|
70% |
7,07 < x ≤ 7,43 |
6,60 < y ≤ 7,00 |
|
80% |
6,63 < x ≤ 7,07 |
6,20 < y ≤ 6,60 |
|
90% |
6,07 < x ≤ 6,63 |
5,40 < y ≤ 6,20 |
|
>90% |
1,99 < x ≤ 6,07 |
1,00 < y ≤ 5,40 |
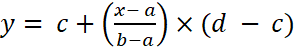
Do x = 8,1 trong khoảng 7,77 < x ≤ 8,10, thuộc tốp 50% nên a = 7,77; b = 8,10; c = 7,20 và d = 7,60. Áp dụng công thức nội suy tuyến tính, điểm quy đổi HM_ToánQĐ:
![]()
Vậy, điểm học bạ môn toán HM_Toán = 8,1 điểm được quy đổi tương đương với điểm thi THPT là HM_ToánQĐ = 7,60 điểm (theo Bảng quy đổi giả định).
Ví dụ 2 - Quy đổi điểm V-SAT: Thí sinh có điểm V-SAT môn Toán là 100 điểm và giả định bảng quy đổi điểm V-SAT môn Toán như sau:
|
TỐP |
Điểm V-SAT a < x ≤ b |
Điểm thi TN THPT c < y ≤ d |
|
1% |
137,0 < x ≤ 150,0 |
9,0 < y ≤ 10 |
|
5% |
127,5 < x ≤ 137,0 |
8,8 < y ≤ 9,0 |
|
10% |
121,0 < x ≤ 127,5 |
8,6 < y ≤ 8,8 |
|
20% |
112,5 < x ≤ 121,0 |
8,4 < y ≤ 8,6 |
|
30% |
106,0 < x ≤ 112,5 |
8,2 < y ≤ 8,4 |
|
40% |
99,5 < x ≤ 106,0 |
8,0 < y ≤ 8,2 |
|
50% |
94,0 < x ≤ 99,5 |
7,8 < y ≤ 8,0 |
|
60% |
88,0 < x ≤ 94,0 |
7,6 < y ≤ 7,8 |
|
70% |
81,5 < x ≤ 88,0 |
7,4 < y ≤ 7,6 |
|
80% |
74,0 < x ≤ 81,5 |
7,0 < y ≤ 7,4 |
|
>80% |
64,0 < x ≤ 74,0 |
6,4 < y ≤ 7,0 |
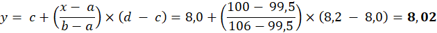
Do x = 100 trong khoảng 99,5 < x ≤ 106,0 thuộc tốp 40% nên a = 99,5 ; b = 106,0; c = 8,0 và d = 8,2. Áp dụng công thức nội suy tuyến tính, điểm quy đổi VM_ToánQĐ:
![]()
Vậy, điểm V-SAT môn Toán VM_Toán = 100 điểm được quy đổi tương đương với điểm thi THPT là VM_ToánQĐ = 8,02 điểm (theo Bảng quy đổi giả định).
